浏览次数:

Tel: 0512-66958483

Email: engforlife-mkt@efl-tech.com

试剂/耗材
首 页 > 科研干货 >

水凝胶机械性能测试(压缩、拉伸等)

生物医用水凝胶作为现代生物医用材料的重要类别之一,其在使用前必然要经过严格的性能评估检测。通常,水凝胶的性能检验内容一般包含物理特性、化学特性、生物特性等。其中,作为材料的基本性质之一,力学性能是水凝胶作为材料使用的一项重要指标。本期,EFL将带大家了解水凝胶力学性能相关测试方法(拉伸、压缩等)的简要原理及用途,让非相关专业研究人员能更好地理解和应用这些测试方法。


1

压缩测试

用于确定材料在施加断裂载荷下的性能,通过使用压盘或通用测试机上的专用工装对试样(一般为长方体或圆柱几何体)施加压缩压力得到应力-应变图,用于确定弹性极限、比例极限、屈服点、屈服强度和(对于某些材料)抗压强度。从图中选择合适的应变范围,并对该区域内曲线作斜率得到压缩模量。图1显示了材料压缩过程中的变化及应力应变曲线。

图片1.png
图1 某些承受压缩力的材料应力和应变之间的关系。在弹性变形区域,材料发生可完全恢复的弹性变形,应力与应变呈线性关系,符合胡克定律

参考资料:
https://commons.wikimedia.org/wiki/File:Stress_strain_of_luffa_sponge.jpg

图片2.png
图2 水凝胶的压缩应力-应变曲线

参考资料:
https://doi.org/10.1039/C8TB01664J

压缩-卸载循环测试
压缩-卸载循环测试通常表征材料的抗疲劳性能。当材料为弹性体时,加载和卸载遵循相同的应力-应变曲线,并且不耗散能量(图3a)。当材料为非弹性体时,加载和卸载遵循不同的应力-应变曲线,两条曲线围成的面积为材料单位体积的耗散能量(图3b)(这里只考虑单轴应力下材料的加载和卸载)。由于网络和交联的不均匀分布,大多数常规水凝胶容易出现轻微的裂缝和缺陷,并表现出脆性破坏。这种能量耗散机制,可以提高水凝胶的强度、韧性、抗疲劳性和对缺口不敏感性

图片3.png
图3 弹性和非弹性材料中的加载和卸载应力-应变曲线

参考资料:
https://doi.org/10.1016/j.eml.2020.100966

图片4.png
图4 海藻酸钠-聚丙烯酰胺水凝胶的加载-卸载行为。(a)压缩试验示意图。沿试样厚度方向施加压缩。(b)不同海藻酸钠浓度alg-PAAM水凝胶的加载和卸载曲线(加载/卸载曲线包围的区域代表循环中耗散的能量)。(c)能量耗散密度随着海藻酸钠浓度的增加而增加。这种大的耗散是由于海藻酸盐网络中大量离子键(-COO-,Ca2+)的解离

参考资料:
https://doi.org/10.1016/j.eml.2020.100966

2

拉伸测试

指在承受轴向拉伸载荷下测定材料特性的试验方法。通过应力-应变曲线可以得到拉伸强度、拉伸断裂应力以及拉伸弹性模量等(如图5)。而对于大多数水凝胶通常只直接发生脆性断裂,无屈服过程。

图片5.png
图5 在拉伸试验过程中,试样的变化及应力应变曲线

参考资料:
https://doi.org/10.1515/cls-2020-0016

图片6.png
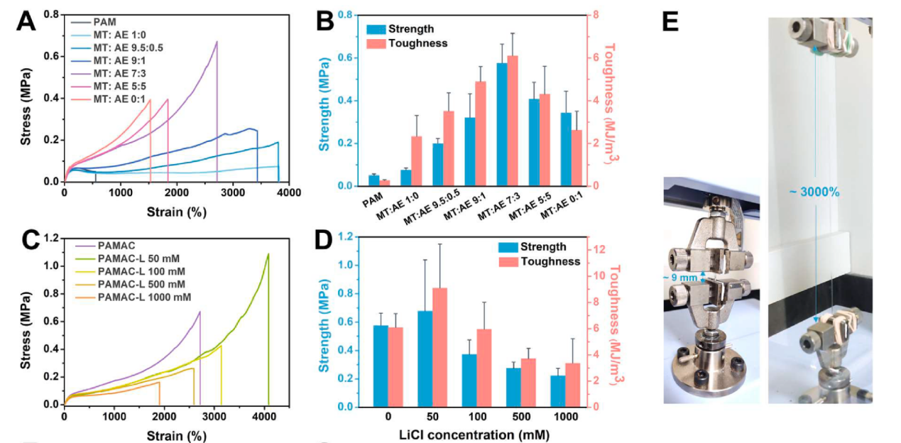
图6 (A)PAM和不同比例PAMAC水凝胶的拉伸应力-应变曲线;(B)平均拉伸强度和韧性。(C)不同LiCl浓度水凝胶的拉伸应力-应变曲线;(D)平均拉伸强度和韧性。(E)水凝胶拉伸过程中的图像

参考资料:
https://doi.org/10.1016/j.cej.2022.138212

拉伸-卸载循环测试
同压缩-卸载循环测试类似,用于表征材料的耐疲劳特性。如图7所示,所有水凝胶的拉伸应力-应变曲线都表现出明显的迟滞现象,说明带中含有丰富的非共价相互作用,其拉伸后可以破裂,消耗能量。

图片7.png
图7 Non-Ox、Chem-Ox和Electro-Ox水凝胶胶带的典型拉伸卸载曲线

参考资料:
https://doi.org/10.1038/s41467-021-27529-5

3

断裂测试

本质上,水凝胶是易碎的,因为它们的含水量大会导致聚合物链的面密度降低。断裂韧性Γc(裂纹扩展单位面积所需的临界能量(单位: Jm-2))的典型值估计约为10Jm-2(例如藻酸盐凝胶),比天然橡胶(~104 Jm-2)小几个数量级。而作为坚韧水凝胶的一个代表性例子--双网络凝胶,其断裂韧性显着提高背后的关键机制是由于裂纹尖端附近的牺牲网络破裂而导致的能量耗散,而另一个网络保持凝胶的宏观完整性。

这里介绍水凝胶断裂文献中常用的四种实验方法:纯剪切试验[1],简单剥离试验[1],单边缺口试验[2]和撕裂试验[3]。这些测试可以轻松计算裂纹扩展过程中的能量释放率G,然后将其作为断裂韧性Γc的测量值[4,5]

3.1 纯剪切试验
纯剪切试验测试首先由Rivlin和Thomas[1]提出,用于测试橡胶样品的断裂,最近已被用于表征水凝胶的断裂。未变形样品是宽L0,高2H0和厚度b0的细长条带,其中L0≫ 2H0和b0。长度为c (c≫2H0的长裂纹)位于夹在装载装置上的条带的顶部和底部边界之间的中间。
图片8.png

能量释放率与裂纹长度无关,由下式给出
图片9.png
 W(λs)是远在裂纹尖端之前的材料点的应变能密度。在实践中,W(λs)通常通过在纯剪切约束( λ1 =1)下对未开裂的样品施加张力并计算测量的应力-应变曲线下的面积来测量

图片10.png
图8 (a)纯剪切试验下凝胶断裂韧性的计算。临界拉伸是λC由缺口样品的纯剪切试验确定。无缺口样品的应力-拉伸曲线的积分λ=1至λ=λC得到W(λC)。断裂韧性计算为Γ=H×W(λC),H是未变形状态下的样品高度。(b)缺口样品的应力-拉伸曲线。(c)临界拉伸λC随着水凝胶φ0的增加而减少。(d)水凝胶的实验断裂韧性随着φ0的增加而显著降低

参考资料:
https://doi.org/10.1016/j.eml.2021.101495

3.2 剥离实验
与纯剪切实验测试类似,此处未变形的样品几何形状由长度L0、高度2H0和厚度b0定义。然而,不同的是,此处试样在裂纹端的两个臂被夹紧并剥离。
图片11.png

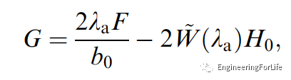
能量释放率G可写为:
图片12.png
其中,F是施加到两个臂的力,λa和W分别是臂的拉伸比和弹性应变能密度。忽略了两个臂的弹性变形,即(λa =1, W=0),因此简化为Γ= 2F/b0。

图片13.png
图9 利用剥离实验测试凝胶的粘附能(ΓA =2F/w)。(e)粘附能测量。(f)剥离力与拉伸的关系。(g)粘附能与聚合物含量的关系

参考资料:
https://doi.org/10.1021/acsmacrolett.0c00854

3.3 单边缺口试验
Greensmith[2]采用单边裂纹试验来来确定硫化天然橡胶的断裂能,并且最近用于研究水凝胶断裂。
图片14.png

使用合规方法,Greensmith发现长度为c ≪ L0的短裂纹的能量释放率近似为
图片15.png
其中W(λb)是经受单轴拉伸λb的未开裂样品的应变能密度,L0是样品的宽度,假定远小于样品高度2H0

此公式两个限制:
(1)它仅适用于小裂纹长度和小到中等应变,尚未对大应变进行验证。
(2)服从Mooney-Rivlin模型。目前尚不清楚该表达式对于具有不同应变硬化行为的弹性体的效果如何,尤其是在大变形时。

图片16.png
图10 (a)在60°C和20°C下以0.025 s-1的应变速率对单边缺口样品进行裂纹扩展实验。(b)使用Greensmith的大应变近似获得临界能量释放率Gc

参考资料:
https://www.science.org/doi/10.1126/science.1248494

3.4 撕裂试验
撕裂试验也称为裤子试验,用于表征橡胶、弹性体和韧性水凝胶的断裂程度。与上述三种结构不同,裂缝主要在开放模式下变形,在撕裂测试中,裂缝是由平面外剪切载荷变形的。
图片17.png
对于撕裂试验,G也可以使用公式
图片18.png
F是撕裂力,b0是试样厚度,λa是两个臂的拉伸比。如果忽略两臂的弹性变形,G可以近似为文献中常用的G=2F/b0
图片19.png
图11 (A)量化水凝胶韧性的撕裂试验示意图。(B)撕裂试验的力-位移曲线。(C)水凝胶生物粘接剂的韧性

参考资料:
https://doi.org/10.1002/adfm.202106446

EFL小贴士:
实际上,凝胶机械性能的研究方法仍还有很多,以上简单介绍的几种常见的方法与实例可以满足大多数凝胶的测试需求。在水凝胶课题研究时,可从材料特性出发,综合选取合适科学的测试手段来评估材料的性能。


首页 试剂/耗材 仪器/设备 电话咨询

Top

Tel: 0512-66958483

Email: engforlife-mkt@efl-tech.com